邓清禄,等:利用伴行光缆识别与监测管道地质灾害的探索与实践
来源:《管道保护》2024年第1期 作者:邓清禄 韦超群 张健诚 时间:2024-1-17 阅读:
邓清禄1 韦超群1 张健诚2
1.中国地质大学(武汉);2.国家管网集团北方管道长沙输油气分公司
摘要:为探索利用管道伴行光缆开展管道地质灾害监测的可行性,开展了伴行光缆传感性能测试、土体位移-光缆应变-管道应变原位试验及实际的在役管道受滑坡变形影响段伴行光缆应变检测。结果显示,外力作用下光缆拉伸变形与布里渊频移之间有良好的响应关系;土体位移作用下光缆应变-管道应变在变形范围、应变强度、应变出现的时间等方面具有显著的相关性;某管道滑坡光缆应变检测值在总体平稳的应变背景值基础上呈现出应变异常,从而能够较好识别。
关键词:伴行光缆;地质灾害;识别;监测;管道
识别地质灾害是进行工程防治的前提。为提高管道地质灾害识别率,近年来人们开始探索或尝试采用新的技术手段,如无人机调查、遥感InSar识别、分布式光纤技术等应用于地质灾害识别。
分布式光纤传感技术,以光纤作为传感检测元件,通过检测光纤中散射光信号的变化,达到监测温度变化、应变变化的目的(图 1)。相比于传统地质灾害监测技术,分布式光纤最显著的优点在于分布式,具备线状空间连续监测的性能,监测长度可达到几十公里。线性长距离的监测技术应用于同样为线状长距离的油气管道安全监测,有其独特的优势,为管道地质灾害早期识别与监测提供了新途径,有广阔的应用前景。

图 1 分布式光纤监测技术示意图
能否利用伴行光缆进行管道地质灾害识别与监测预警,需要解决两个关键技术问题,一是伴行通讯光缆的传感性能,即通讯光缆感知地质体位移或变形的能力;二是滑坡等地质体变形作用下土-缆-管变形的相关性,由于土-管、土-缆相互作用存在差异,管道与光缆的应变不会等同,研究并掌握了它们之间的相关性后,才能实现管道地质灾害监测预警。
1 伴行光缆的传感性能测试
为了解伴行光缆的传感性能,进行了实验室测试和原位测试。
截取一段用于通讯的伴行光缆(来自某管道改线后废弃的伴行通讯光缆),利用自主研发的光纤测试台,按照每次1 mm的增量逐步拉伸光缆并同步检测光纤的布里渊频移(图 2)。图中用不同颜色的线表示不同拉伸量条件下的布里渊频移曲线,从中我们可以看出,拉伸-布里渊频移之间有良好的响应关系。布里渊频移量与光纤应变增量之间具有线性关系,根据布里渊频移量可以算出光纤应变增量。

图 2 光缆不同拉伸长度下布里渊频移曲线
选取一段管道,开展了原位伴行光缆应变性能测试。在管道一侧开挖作业坑,通过千斤顶给管道逐级施加应力,推动管道及同沟敷设的伴行光缆侧向位移(图 3),并同步检测光缆的布里渊频移(图 4)。与室内试验结果类似,同样反映出拉伸(位移)-布里渊频移之间良好的响应关系。不同的是,由于给光纤施加外力的方式不同,布里渊频移曲线形态不同,原位试验的布里渊频移曲线呈中间凸起的形态,以作用力为中心点,向两侧快速降低。

图 3 千斤顶推动管道及同沟的伴行光缆侧向位移

图 4 随管道位移变化的光缆布里渊频移曲线
以上从实验室测试和原位试验,均说明通讯光缆具有良好的应变传感性能,这就验证了利用伴行光缆开展管道地质灾害检测/监测的技术可行性。
2 土体位移作用下光缆与管道应变响应关系研究
选择一段废弃的管道,开展土体位移状态下光缆变形与管道变形相关性原位试验。基本试验思路是,在近管道边侧开挖作业坑,通过千斤顶水平方向给土体施加应力(模拟滑坡的作用力),推动土体变形(模拟滑坡滑移变形),土体位移变形的过程中会带动管道及光缆受力变形,同步监测/检测土体位移-管道应变-光缆应变(图 5)。试验最终得到管道的应变曲线(图 6)和伴行光缆应变变化曲线(图 7),分析两者的应变关系,可以得到如下几点认识:①土体位移/应力作用下管道和光缆均出现明显的应变变化,应变变化的形态相似,呈现出以推力作用为中心,中心高往两侧逐渐降低的应变分布;②推力作用下,光缆和管道受力变形的范围有放大效应,作用于土体推力的钢板宽度为3.4 m,而在管道及光缆产生明显的应变变化的长度范围约为30 m,相比于施加到土体上应力作用宽度扩大了约9倍,这是点应力在土体中呈扇状扩散效应的结果;③在同一外力作用下,管道的变形(应变)量大于光缆的变形(应变)量,如最后一级推力下管道中间位置的最大应变值为300 με~350 με,相应的伴行通信光缆的应变值为180 με~200 με,后者约为前者的60%;④土体位移/应力作用下光缆应变响应出现的时间早于管道应变响应出现的时间,也就是说光缆先于管道感知到外力的作用。

图 5 外力作用下土-管-缆变形响应关系原位试验平面布置图

图 6 原位试验中不同级次推力作用下管道应变变化

图 7 不同级次推力作用下光缆应变变化
3 应用实例
为检验实际运行管道利用伴行光缆监测/检测滑坡作用的可行性,对罗针田管道进行伴行光缆检测。
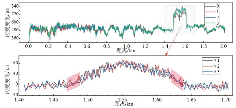
湖北恩施罗针田某天然气管道穿越滑坡,滑坡宽度约150 m,顺滑动方向长度约360 m,滑体厚度最厚处58 m,平均35 m,坡度25°~30°。管道在滑坡体中后部位通过,管道横坡敷设。近几年GNSS监测显示滑坡处于持续的变形发展状态,地表发育开裂变形现象,管体应变监测显示管道应变呈现上升趋势。2023年7月至8月对包含该区间的伴行光缆进行了4次应变检测,结果如图 8,由图可以看出,伴行通讯光缆应变值整体呈现较平稳的状态,应变值在540±60 με区间波动,但在1.4 km~1.7 km光缆段应变数据突变,应变值在780±60 με区间,比背景值高出大约240 με。该段应变值升高段空间上正好与罗针田滑坡吻合,由此可以推断罗针田滑坡多年变形已引起光缆受力变形,相应的管道也已承受了应变。

图 8 罗针田滑坡段管道伴行光缆应变检测曲线(上图)及不同时段应变变化(下图)
4 结论与展望
(1)管道通讯光缆具有良好的应变传感性能,可以利用管道伴行光缆开展管道地质灾害监测。
(2)土体位移作用下光缆应变与管道应变之间,在应变空间范围、应变强度及其分布特征、出现时间等方面有较高的相关性,可以利用伴行光缆检测/监测地质灾害,实现管道地质灾害早期识别与预警。
(3)已有的初步研究是基于裸光缆的,但多数管道伴行光缆有硅管保护;此外伴行光缆与管道空间关系不同、土体性质的不同,均会对光缆应变与管道应变之间的相关性带来影响,这些都有待深入研究。

作者简介:邓清禄,中国地质大学(武汉)二级教授,博士生导师。从事地质工程、安全工程领域的教学与科学研究,研究方向为地质灾害成生演化机理、科学防控技术及方法创新与实践等,专注管道地质灾害研究与咨询服务20余年。在国内外学术期刊发表论文120余篇,出版专著6部,参编教材2部,参编国标或行业规范4部,获授权国家发明专利10项;获省部级科技奖励5项。管道地质灾害领域代表性论著有《长输管道地质灾害风险评价与控制:忠武管道地质灾害研究》等。
上篇:
下篇:




甘公网安备 62010202003034号 
